I am using:
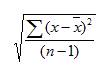
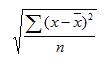
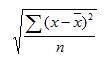
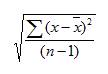
SQN= sqrt(N)*average("Profit")/stddev("Profit")
Please note that since I have a french version of excel, I have translated the name of the function in what I believe is the excel english name.
Where N is the number of trades and ("Profit") means the N values from the column "Profit" extracted from NT.

Comment